Nov . 01, 2024 14:51 Back to list
What is Hydroxypropyl Methyl Cellulose?
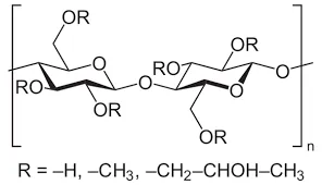
Hydroxypropyl Methyl Cellulose (HPMC) is a semi-synthetic polymer derived from cellulose, which is a natural polymer found in the cell walls of plants. HPMC is widely used in various industries due to its unique properties, including its ability to form gels, thickening, and film-forming capabilities. It is a versatile compound that has found applications in pharmaceuticals, food, construction, and personal care products.
What is Hydroxypropyl Methyl Cellulose?
In the food industry, HPMC serves as a thickening agent and emulsifier. It is often used in low-fat and gluten-free products to improve texture and mouthfeel. For instance, HPMC can replace fats in creamy sauces or baked goods, providing a similar consistency while lowering calorie content. Moreover, it is also used in the production of vegetarian capsules, making it a popular alternative to gelatin for those following vegan or vegetarian diets.

The construction industry benefits from HPMC's water-retention properties, which help improve the workability of cement mixtures and plasters. By retaining moisture, HPMC enhances the adhesion of materials, resulting in stronger and more durable constructions. Additionally, HPMC is often used in the formulation of paints and coatings, where it acts as a thickener and stabilizer, providing an even application and improved durability.
In the realm of personal care products, HPMC is an ingredient in various cosmetics and skincare formulations. It acts as a thickening and emulsifying agent, contributing to the overall texture and stability of creams, lotions, and gels. Its non-toxic nature and compatibility with a range of other ingredients make it a favored choice among formulators.
In summary, Hydroxypropyl Methyl Cellulose is a multifunctional ingredient that plays a crucial role across multiple industries. Its diverse applications stem from its unique properties, making it an essential component in the formulation of pharmaceuticals, food products, construction materials, and personal care items. Its continued use is a testament to its versatility and effectiveness in enhancing product performance.
Comprehensive Guide to Hydroxy Methyl Propyl Cellulose and Its Diverse Applications
NewsMar.10,2026
Comprehensive Guide to Buy Hydroxypropyl Methylcellulose for Diverse Applications
NewsMar.09,2026
Comprehensive Guide to Hydroxypropyl Methylcellulose Buy and Applications
NewsMar.08,2026
Exploring Hydroxypropyl Methyl Cellulose Uses Across Industries and Applications
NewsMar.07,2026
Comprehensive Guide to HPMC Hydroxypropyl Methyl Cellulose Applications and Grades
NewsMar.06,2026
Comprehensive Guide to Hydroxypropyl Methyl Cellulose and Its Diverse Applications
NewsMar.05,2026